ВВЕДЕНИЕ
Актуальность исследования. В настоящее время солнечная энергетика рассматривается как одно из перспективных направлений выработки электрической энергии. Солнечные электростанции получают распространение во многих регионах России и мира. Технические решения по повышению эффективности солнечных батарей могут существенно повысить объем вырабатываемой электроэнергии.
Фотоэлементы служат базовым элементом для устройств солнечной энергетики. Одной из характеристик фотоэлементов является зависимость количества энергии, вырабатываемой единицей площади панели фотоэлементов. При этом мощность источника на солнечных батареях зависит от направления падающего излучения. В связи с этим актуальной является задача исследования зависимости характеристик фотоэлемента, как источника напряжения от направления световых лучей, а также выработка решений, снижающих данную зависимость.
Исследования, проводимые в проекте, позволят получить эмпирическую зависимость электродвижущей силы фотоэлемента от направления световых лучей. Также будут рассмотрены характеристики ячейки из двух фотоэлементов, расположенных под различным углом друг к другу.
Результатами работы будут данные о характеристике фотоэлемента и техническое решение по реализации уголковой ячейки световой панели.
Цель исследования состоит в изучении влияния направления светового потока на работу фотоэлемента и формирование технических решений, снижающих эту зависимость.
Для достижения поставленной цели решались следующие задачи:
- Проектирование и реализация экспериментальной установки для измерения зависимости напряжения на фотоэлементе от направления света и проведение исследований для одного фотоэлемента.
- Измерение зависимости напряжения от направления света для конструкции из двух фотоэлементах.
- Разработка и реализация источника напряжения из нескольких фотоэлементов на основе проведенных измерений.
Проблема исследования состоит зависимости напряжения на фотоэлементе от направления падения световых лучей, делающих его работу нестабильной.
Объектом исследования являются плоские фотоэлементы.
Предметом исследования зависимость электродвижущей силы, вырабатываемой фотоэлементом от направления световых лучей.
Практическая значимость исследования заключается в том, что на основе полученных зависимостей спроектирован и реализован элемент питания, работающий от световой энергии и имеющий слабую зависимость от направления света.
В первой главе работы приведены основные сведения о фотоэлементах. Во второй главе приводится схема экспериментальной установки и результаты измерения для единичного фотоэлемента и двух фотоэлементов, расположенных под различным углом друг к другу. В третьей главе приведено описание прототипа источника питания на солнечной энергии, реализованного на основе трех фотоэлементов.
ГЛАВА I. ИЗУЧЕНИЕ ЗАВИСИМОСТИ ЭДС ФОТОЭЛЕМЕНТА ОТ НАПРАВЛЕНИЯ СВЕТОВОГО ПОТОКА
1.1 Основные сведения о фотоэлементах
Фотоэлементы – это устройства для преобразования энергии излучения в электрическую энергию. Современные фотоэлементы изготавливают из полупроводниковых материалов, например, кремния. Фотоэлементы под воздействием светового излучения вырабатывают электрический ток. Соединение фотоэлементов в модули позволяет строить крупные фотоэлектрические станции.
Солнечные фотоэлементы просты в обращении, так как не содержат движущихся частей. Однако фотоэлементы основаны на сложных полупроводниковых устройствах, аналогичных интегральным микросхемам. Современные фотоэлементы характеризуются коэффициентом полезного действия около 10%.
Действие фотоэлементов основано на физических явлениях, возникающих на границе двух полупроводников различного типа. Если на контакт таких двух полупроводников падает электромагнитная волна, то возникает постоянный ток. В связи с чем, фотоэлементы могут использоваться напрямую в устройствах, питающихся от батарей постоянного тока. Для подключения к стандартной сети электропитания требуется инвертор, преобразующий постоянный ток в переменный.
Фотоэлементы приобретают все более широкое применение благодаря снижению стоимости их производства и совершенствования технологий. Солнечные электростанции получают всё большее распространение по всему миру.
1.2 Схема эксперимента
Зависимость электродвижущей силы, вырабатываемой фотоэлементом от направления падения световых лучей, изучалась экспериментально. Схема установки показана на рисунке 
Рис. 1. - Принципиальная схема установки: 1 – фонарик, 2 – шарнир с площадкой для крепления фотоэлемента, 3 – фотоэлемент, 4 – транспортир.
На рисунках 2 и 3 показаны фотографии реализованной экспериментальной установки.

Рис. 2. – Фотография реализованной экспериментальной установки (вид сверху).

Рис. 3. – Фотография реализованной экспериментальной установки (вид сбоку).
Фотоэлементы извлекались из садового фонарика (Рисунок 4).

Рис. 4. – Садовый фонарик, из которого извлекался фотоэлемент.
Фотоэлемент крепился на площадке с помощью двухсторонней липкой ленты. Напряжение на фотоэлементе измерялось с помощью мультиметра.
В первом эксперименте измерялась зависимость напряжения на фотоэлементе от угла α между лучом от фонарика и перпендикуляром к плоскости фотоэлемента (Рисунок 5).

Рис. 5. – Угол между лучом и фотоэлементом.
Эксперимент проводился в темной комнате для того, чтобы избежать влияния других источников света кроме фонарика. Угол α изменялся от 0° до 90° с шагом 10°. Для каждого положения фотоэлемента записывалось значение электродвижущей силы, которую он вырабатывает.
1.3 Результаты эксперимента
На рисунке 6 представлен график зависимости электродвижущей силы от угла α для одного фотоэлемента.

Рис. 6. – График зависимости электродвижущей силы от угла падения луча света для одного фотоэлемента.
Как видно из рисунка 6 ЭДС фотоэлемента быстро убывает с увеличением угла между перпендикуляром к плоскости фотоэлемента и направлением лучей. Это связано с тем, что уменьшается видимая площадь фотоэлемента S’. Если площадь фотоэлемента S, то, как видно из рисунка 7, видимая площадь фотоэлемента S’ вычисляется по формуле:
S’ = S cos α.

Рис. 7. – Видимая площадь фотоэлемента.
Для проверки гипотезы зависимости ЭДС фотоэлемента от видимой площади был построен график зависимости ЭДС от косинуса угла α (Рисунок 8).

Рис. 8. – График зависимости электродвижущей силы от косинуса угла падения луча света для одного фотоэлемента.
Как видно из рисунка 8 зависимость ЭДС от косинуса угла падения света близка к линейной зависимости. Для исследуемого фотоэлемента эта зависимость описывается формулой:
E = 0.47 ∙ cos α + 1.38 (В).
Ненулевое значение ЭДС при падении света вдоль фотоэлемента можно объяснить влиянием рассеянного света. Фонарик не дает узко направленного пучка света.
ВЫВОДЫ ПО ГЛАВЕ I
На основе данной главы можно сделать следующие выводы:
1. ЭДС одного фотоэлемента линейно зависит от угла падения света и прямо пропорциональной видимой площади фотоэлемента.
2. Напряжение на фотоэлементе прямо пропорционально косинусу угла падения света.
ГЛАВА II. ЯЧЕЙКИ ИЗ НЕСКОЛЬКИХ ФОТОЭЛЕМЕНТОВ
2.1 Конструкция из двух фотоэлементов
Во втором эксперименте изучалась зависимость ЭДС от угла падения света на конструкцию из двух фотоэлементов, расположенных под углом β друг к другу (рисунок 9).


Рис. 9. – Конструкция из двух фотоэлементов.
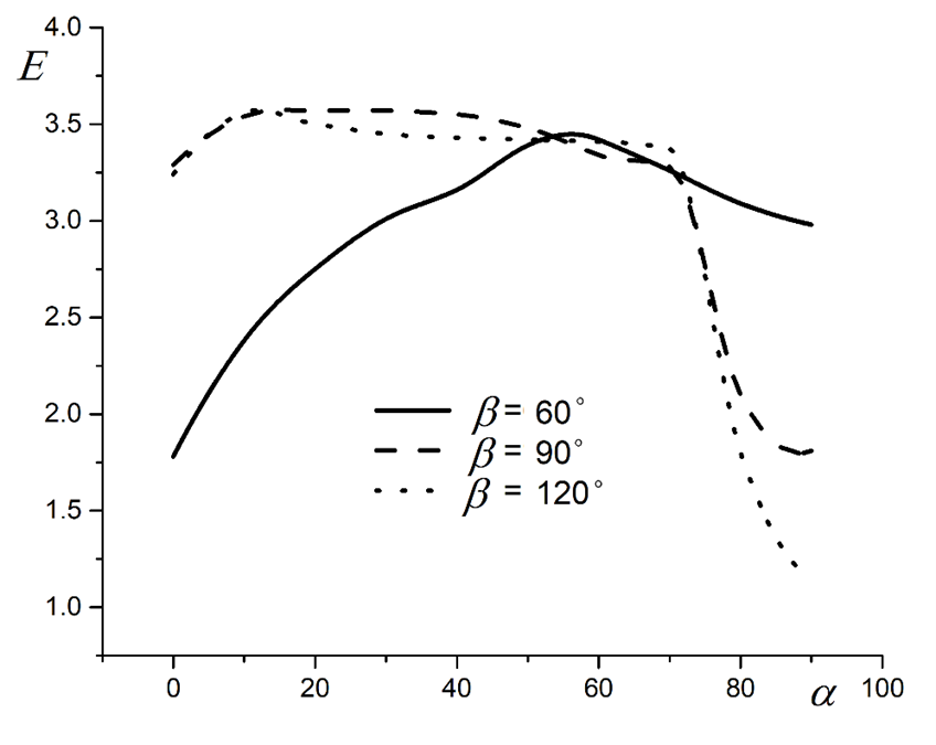
Фотоэлементы закреплялись на картонном шаблоне. Эксперименты были проведены для трех значений углов β = 60°, β = 90° и β = 120°. Во всех трех случаях фотоэлементы подключались последовательно. Результаты экспериментов представлены на рисунке 10.

Рис. 10. – Графики зависимости электродвижущей силы от угла падения луча света для конструкции из двух фотоэлементов.
Как видно из рисунка 10 ЭДС при значении угла β = 60° наблюдается сначала рост, а затем снижение ЭДС с ростом угла падения. Такая закономерность объясняется тем, что один фотоэлемент частично заслоняет другой. Максимальная ЭДС производится, если луч света падает вдоль биссектрисы угла между фотоэлементами. Для углов β = 90° и β = 120° зависимость ЭДС от угла падения имеет одинаковый вид. Слабая зависимость от угла падения в интервале от 0° до 80°, а затем резкое снижение. Быстрое убывание ЭДС возможно связано с несовершенством установки, так как конструкция из фотоэлементов выходит из зоны прямого освящения фонариком. Из этих графиков видно, что конструкция из двух элементов позволяет сгладить перепады ЭДС при изменении направления падения света.
2.2 Конструкция из трех фотоэлементов
На основе полученных результатов для двух фотоэлементов была изготовлена ячейка из трех элементов. Все фотоэлементы располагались перпендикулярно друг другу (Рисунок 11).

Рис. 11. – Конструкция из трех фотоэлементов.
Фотоэлементы включались последовательно. Как показали эксперименты для такой ячейки напряжение также слабо меняется при движении источника света, причем в двух направлениях. Для этого источника тока было измерено ЭДС и ток короткого замыкания при различной освещенности. На основе этих значений было рассчитано внутреннее сопротивление источника.
r = E / I_кз.
Также была рассчитана максимально возможная мощность такой ячейке при различной освещенности:
P_max = E^2 / 4r.
Результаты представлены в таблице 1.
Таблица 1. ЭДС источника, ток короткого замыкания, внутреннее сопротивление источника тока и максимальная вырабатываемая мощность.
| E(В) | I_кз (мА) | r(кОм) | P_max(мВт) |
|---|---|---|---|
| 5,44 | 0,105 | 51,9 | 0,143 |
| 5,58 | 0,124 | 44,9 | 0,173 |
| 5,66 | 0,119 | 47,6 | 0,168 |
| 5,87 | 0,169 | 34,7 | 0,248 |
| 5,94 | 0,163 | 36,3 | 0,243 |
Как видно из таблицы 1 ячейка способна вырабатывать электрический ток с постоянным напряжением, при этом сила тока и мощность одиночной ячейки фотоэлементов достаточно малы. Практическое применение требует построения батареи из нескольких таких ячеек.
ВЫВОДЫ ПО ГЛАВЕ II
На основе данной главы можно сделать следующие выводы:
1. Ячейка из двух или трех фотоэлементов способна вырабатывать постоянное ЭДС при передвижении источника света.
2. Наилучшие результаты для двух фотоэлементов достигаются, если угол между ними равен β=90°.
3. Мощность используемых фотоэлементов достаточно мала для того, чтобы использовать данную ячейку как отдельный источник тока.
ЗАКЛЮЧЕНИЕ
По результатам исследования можно сделать следующие выводы:
1. Проведено экспериментальное исследование зависимости ЭДС фотоэлемента от угла падения света, при этом:
1.1. Значение ЭДС определяется видимой площадью фотоэлемента.
1.2. ЭДС прямо пропорционально косинусу угла падения света.
2. Экспериментально исследованы ячейки из двух и трех фотоэлементов, при этом:
2.1. Ячейка из двух или трех фотоэлементов способна вырабатывать постоянное ЭДС при передвижении источника света.
2.2. Наилучшие результаты для двух фотоэлементов достигаются, если угол между ними равен β=90°.
2.3. Мощность используемых фотоэлементов достаточно мала для того, чтобы использовать данную ячейку как отдельный источник тока.
СПИСОК ИСПОЛЬЗОВАННЫХ ИСТОЧНИКОВ
1. Фотоэлементы и солнечные батареи. [Электронный ресурс] URL: https://www.rural-electrician.ru/himich-koe-dejstvie-toka-istochniki-postojannogo-toka/fotoelementy-i-solnechnye-batarei.html (дата обращения: 20.01.2025).
2. Фотоэлементы. [Электронный ресурс] URL: https://studwork.ru/spravochnik/fizika/fotoelementy (дата обращения: 18.01.2025).
3. Принцип работы: Солнечные батареи. [Электронный ресурс] URL: https://itw66.ru/blog/alternative_energy/448.html (дата обращения: 19.01.2025).
